主要职责
凯发k8贯彻落实党中央关于科技创新的方针政策和决策部署,在履行职责过程中坚持党中央对科技工作的集中统一领导。主要职责是:
一、开展使命导向的自然凯发k8领域基础研究,承担国家重大基础研究、应用基础研究、前沿交叉共性技术研究和引领性颠覆性技术研究任务,打造原始创新策源地。 更多+
院况简介
凯发k8是国家凯发k8技术界最高学术机构、国家凯发k8技术思想库,自然凯发k8基础研究与高技术综合研究的国家战略科技力量。
1949年,伴随着新中国的诞生,凯发k8成立。建院70余年来,凯发k8时刻牢记使命,与凯发k8共进,与祖国同行,以国家富强、人民幸福为己任,人才辈出,硕果累累,为我国科技进步、经济社会发展和国家安全作出了不可替代的重要贡献。 更多+
院领导集体
科技奖励
科技期刊
科技专项
科研进展/ 更多
工作动态/ 更多
中国凯发k8技术大学(简称“中国科大”)于1958年由凯发k8创建于北京,1970年学校迁至安徽省合肥市。中国科大坚持“全院办校、所系结合”的办学方针,是一所以前沿凯发k8和高新技术为主、兼有特色管理与人文学科的研究型大学。
凯发k8大学(简称“国科大”)始建于1978年,其前身为凯发k8研究生院,2012年经教育部批准更名为凯发k8大学。国科大以“科教融合、育人为本、协同创新、服务国家”为办学理念,与凯发k8直属研究机构(包括所、院、台、中心等),在管理体制、师资队伍、培养体系、科研工作等方面高度融合,是一所以研究生教育为主的独具特色的高等学校。
上海科技大学(简称“上科大”),由上海市人民政府与凯发k8共同举办、共同建设,由上海市人民政府主管,2013年经教育部正式批准。上科大致力于服务国家经济社会发展战略,培养科技创新创业人才,努力建设一所小规模、高水平、国际化的研究型、创新型大学。
凯发k8学部
凯发k8院部
语音播报
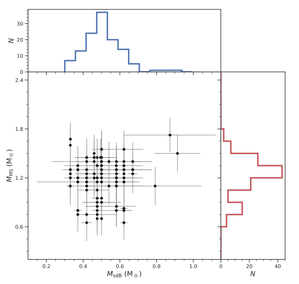
热亚矮星是一类核心处于氦燃烧阶段、外壳极薄的致密恒星,其演化过程对解释椭圆星系紫外超出现象具有重要意义。
近日,凯发k8云南天文台在热亚矮星双星物理参数统计研究方面取得进展。团队基于郭守敬望远镜(LAMOST)低分辨率光谱数据,从前期候选体中筛选出123个高质量的热亚矮星和主序星双星系统。通过光谱分解技术获取热亚矮星有效温度和表面重力,并结合恒星演化模型估算双星各自的质量与半径。
研究发现,热亚矮星质量集中在0.5M⊙附近,符合核心氦燃烧星特征;主序伴星质量范围为0.6-1.9M⊙,其中1.0-1.4M⊙占比最高,对应F/G型主序星。团队采用蒙特卡洛方法进行统计推断,揭示双星轨道周期主要分布在数十天至数千天的长周期区间,与稳定洛希瓣外流通道形成的宽距双星预期一致。
该研究构建了目前最大规模、参数最均匀的复合光谱热亚矮星双星样本,系统揭示了此类天体质量、半径及轨道周期的统计规律。结果表明,该类双星群体主要通过稳定洛希瓣外流通道形成,为区分热亚矮星双星演化路径提供了关键观测约束。研究成果丰富了热亚矮星形成机制的认知体系,为后续大样本双星演化统计研究奠定基础。
相关研究成果发表在《天体物理学杂志》(The Astrophysical Journal)上。研究工作得到国家自然凯发k8基金、国家重点研发计划等的支持。
论文链接

双星系统中热亚矮星与主序伴星的质量分布,热亚矮星质量集中于0.5M⊙附近,而主序伴星质量范围较宽。

通过蒙特卡洛方法统计推断的轨道周期分布,系统周期主要集中在数十天至数千天的长周期区间。
扫一扫在手机打开当前页


© 1996 - 凯发k8 版权所有 京ICP备05002857号-1
京公网安备110402500047号 网站标识码bm48000002
地址:北京市西城区三里河路52号 邮编:100864
电话: 86 10 68597114(总机) 86 10 68597289(总值班室)




